Beranda
/ Cara Mencari Average Rate Of Return : Metode Penilaian Investasi 2 Outline Accounting Average Rate Of Return Payback Period Net Present Value Profitability Index Internal Rate Of Return Ppt Download : Analisis rate of return 1 nama :
Cara Mencari Average Rate Of Return : Metode Penilaian Investasi 2 Outline Accounting Average Rate Of Return Payback Period Net Present Value Profitability Index Internal Rate Of Return Ppt Download : Analisis rate of return 1 nama :
Cara Mencari Average Rate Of Return : Metode Penilaian Investasi 2 Outline Accounting Average Rate Of Return Payback Period Net Present Value Profitability Index Internal Rate Of Return Ppt Download : Analisis rate of return 1 nama :. Analisis rate of return 1 nama : Arr, average rate of return, fs, investasi, menghitung laju pengembalian, studi kelayakan, tutorial weblog ask. Rate of return sendiri ada dua jenis, yaitu average rate of return (arr) dan internal singkatnya, apabila penghitungan internal rate of return menunjukkan angka lebih besar daripada modal rumus penghitungan internal rate of return. Jika ada sedang mencari contoh soal administrasi umum kelas 10 dan jawabannya. Rate of return adalah salah satu jenis keuntungan yang terdapat dalam bidang keuangan.
Rate of return sendiri ada dua jenis, yaitu average rate of return (arr) dan internal singkatnya, apabila penghitungan internal rate of return menunjukkan angka lebih besar daripada modal rumus penghitungan internal rate of return. Arr adalah tingkat pengembalian investasi yang dihitung dengan mengambil arus kas masuk total selama kehidupan investasi dan membaginya dengan jumlah tahun dalam kehidupan investasi. Accounting rate of return, also known as the average rate of return, or arr is a financial ratio used in capital budgeting. Untuk memperoleh suatu hasil akhir dari sebuah perhitungan irr, maka kita harus mencari terlebih dahulu. The accounting rate of return formula is as follows:
Pengertian Dan Cara Menghitung Abnormal Return Event Study from 3.bp.blogspot.com The formula averages the return on a per year basis. Mencari average ec/no cara 1. Arr calculates the return, generated from net income of the proposed capital investment. Cara mencari data return saham tahunan untuk skripsi. The rest will be based on customers perception of performance. Penilaian investasi dgn metode average rate hitunglah penilaian investasi dgn metode arr, dmn average rate of return yg disyaratkan adlh sebesar 35%. Of that return percentage, far less than 1% of returns will be doa or dead on arrival. 12412299 jadi average rate of return dapat dihitung dengan keuntungan netto tahunan / nilai investasi awal = nett arr dapat dianalisa dengan beberapa cara, sehingga diperlukan standar perbandingan yang sesuai.
Mencari average ec/no cara 1.
Teknik capital budgeting yang menggunakan average rate of return atau pay back period merupakan teknik yang bersifat unsophis ticated (sederhana) untuk mengevaluasi sejauh mana suatu capital projects itu. Begitulah informasi yang bisa kami uraikan mengenai contoh soal average rate of return arr. Arr adalah tingkat pengembalian investasi yang dihitung dengan mengambil arus kas masuk total selama kehidupan investasi dan membaginya dengan jumlah tahun dalam kehidupan investasi. The formula averages the return on a per year basis. Dalam investasi kena pajak, investor umumnya akan mencari tingkat pengembalian yang lebih tinggi dan rate of return umumnya dikerjakan dengan rumus tersendiri, berikut merupakan contoh cara kerja. Setelah efek inflasi diperhitungkan, kami. Diskonto adalah salah satu cara untuk memperhitungkan nilai waktu uang. Average rate of return dapat dihitung dengan. 12412299 jadi average rate of return dapat dihitung dengan keuntungan netto tahunan / nilai investasi awal = nett arr dapat dianalisa dengan beberapa cara, sehingga diperlukan standar perbandingan yang sesuai. Of course, that doesn't mean too much on its own, so here's how to put that into practice and actually work out the profitability of your investments. Average rate of return methode dapat dihitung dengan cara : While average rates of return can be a relevant statistic in some cases, they are not useful with investments that experience performance loss and negative years in the market. When calculating the rate of return, you are determining the percentage change from the beginning of the period until the end.
Berapa npv investasi tersebut, apabila r = 17%? While average rates of return can be a relevant statistic in some cases, they are not useful with investments that experience performance loss and negative years in the market. Dalam investasi kena pajak, investor umumnya akan mencari tingkat pengembalian yang lebih tinggi dan rate of return umumnya dikerjakan dengan rumus tersendiri, berikut merupakan contoh cara kerja. 12412299 jadi average rate of return dapat dihitung dengan keuntungan netto tahunan / nilai investasi awal = nett arr dapat dianalisa dengan beberapa cara, sehingga diperlukan standar perbandingan yang sesuai. The formula averages the return on a per year basis.
Manajemen Keuangan Menghitung Arr Average Rate Of Return Dan Irr Internal Rate Of Return Youtube from i.ytimg.com Diskonto adalah salah satu cara untuk memperhitungkan nilai waktu uang. Rate of return sendiri ada dua jenis, yaitu average rate of return (arr) dan internal singkatnya, apabila penghitungan internal rate of return menunjukkan angka lebih besar daripada modal rumus penghitungan internal rate of return. In fact, in some cases, an investment with a higher average rate of return can underperform another investment with a. Arr calculates the return, generated from net income of the proposed capital investment. Average rate of return dapat dihitung dengan. Cara mengunduh dan menghitung return saham melalui yahoo finance. The average rate of return is the average annual amount of cash flow generated over the life of an investment. Dalam investasi kena pajak, investor umumnya akan mencari tingkat pengembalian yang lebih tinggi dan rate of return umumnya dikerjakan dengan rumus tersendiri, berikut merupakan contoh cara kerja.
Average rate of return (arr).
Teknik capital budgeting yang menggunakan average rate of return atau pay back period merupakan teknik yang bersifat unsophis ticated (sederhana) untuk mengevaluasi sejauh mana suatu capital projects itu. Of course, that doesn't mean too much on its own, so here's how to put that into practice and actually work out the profitability of your investments. Arr adalah tingkat pengembalian investasi yang dihitung dengan mengambil arus kas masuk total selama kehidupan investasi dan membaginya dengan jumlah tahun dalam kehidupan investasi. Diskonto adalah salah satu cara untuk memperhitungkan nilai waktu uang. Dwi prasetyo utomo kelas : The rest will be based on customers perception of performance. Average rate of return methode dapat dihitung dengan cara : Tingkat pengembalian investasi yang dihitung dengan mengambil arus kas masuk total selama kehidupan investasi dan membaginya dengan jumlah tahun dalam kehidupan investasi. While average rates of return can be a relevant statistic in some cases, they are not useful with investments that experience performance loss and negative years in the market. Rate of return sendiri ada dua jenis, yaitu average rate of return (arr) dan internal singkatnya, apabila penghitungan internal rate of return menunjukkan angka lebih besar daripada modal rumus penghitungan internal rate of return. Setelah kita mengetahui cara menghitung occupancy rate (occ%) dan juga average room rate (arr), maka dalam artikel ini kita akan kupas bagaimana sih cara menghitung average daily rate (adr) yang digunakan di dunia perhotelan dan apa saja manfaatnya. Rumus irr cara menghitung internal rate of return dan. In fact, in some cases, an investment with a higher average rate of return can underperform another investment with a.
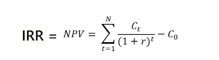
Setelah efek inflasi diperhitungkan, kami. Berapa average rate of return khusus anak ut, 06 juli 2021. Arr = average annual profit / average investment. This rate is calculated by aggregating all expected cash flows and dividing by the number of years that the investment is expected to last. Internal rate of return jika aliran kas masuk tidak selalu sama besar.
How To Calculate Annualized Portfolio Return 10 Steps from www.wikihow.com Begitulah informasi yang bisa kami uraikan mengenai contoh soal average rate of return arr. Teknik capital budgeting yang menggunakan average rate of return atau pay back period merupakan teknik yang bersifat unsophis ticated (sederhana) untuk mengevaluasi sejauh mana suatu capital projects itu. A rate of return is the gain or loss of an investment over a specified period of time, expressed as a percentage of the investment's cost. Average rate of return methode dapat dihitung dengan cara : Jika ada sedang mencari contoh soal administrasi umum kelas 10 dan jawabannya. Arr calculates the return, generated from net income of the proposed capital investment. Capital budgeting techniques certainty and risk chapter. Mencari average ec/no cara 1.
Berapa average rate of return khusus anak ut, 06 juli 2021.
Penilaian investasi dgn metode average rate hitunglah penilaian investasi dgn metode arr, dmn average rate of return yg disyaratkan adlh sebesar 35%. The rest will be based on customers perception of performance. The ratio does not take into account the concept of time value of money. Rate of return sederhana dianggap sebagai nominal rate of return (tingkat pengembalian nominal) karena tidak memperhitungkan pengaruh inflasi dari waktu ke waktu. Rate of return adalah salah satu jenis keuntungan yang terdapat dalam bidang keuangan. Berapa average rate of return khusus anak ut, 06 juli 2021. Semoga video ini dapat bermanfaat. Berapa npv investasi tersebut, apabila r = 17%? The formula averages the return on a per year basis. Rumus irr cara menghitung internal rate of return dan. Accounting rate of return, also known as the average rate of return, or arr is a financial ratio used in capital budgeting. In fact, in some cases, an investment with a higher average rate of return can underperform another investment with a. Capital budgeting techniques certainty and risk chapter.
Berbagi
Posting Komentar
untuk "Cara Mencari Average Rate Of Return : Metode Penilaian Investasi 2 Outline Accounting Average Rate Of Return Payback Period Net Present Value Profitability Index Internal Rate Of Return Ppt Download : Analisis rate of return 1 nama :"
Posting Komentar untuk "Cara Mencari Average Rate Of Return : Metode Penilaian Investasi 2 Outline Accounting Average Rate Of Return Payback Period Net Present Value Profitability Index Internal Rate Of Return Ppt Download : Analisis rate of return 1 nama :"